Home Browse Text SearchFunctional Group SearchStructure SearchPreferences Administration

selected data collection: 1

IRIS SDF: browse content


1
  <<    <    >    >>  

1:525798 C53H60N4O4S
hit structure
1:525799 C19H22N2O2S2
hit structure
1:525800 C14H26N4O2S3
hit structure
1:525801 C9H12N2O4
hit structure
1:525802 C7H8N2O2
hit structure
1:525803 C17H21N3O8
hit structure
1:525804 C10H12N2O6
hit structure
1:525805 C15H21NO4
hit structure
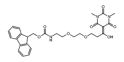
1:525806 C28H31N3O8
hit structure
1:525807 C12H18N4O4
hit structure
1:525808 C13H19N3O2S
hit structure
1:525809 C14H12N2O5S2
hit structure
1:525810 C9H19NO3S2
hit structure
1:525811 C16H22N2O7S2
hit structure
1:525812 C19H21NO3S2
hit structure
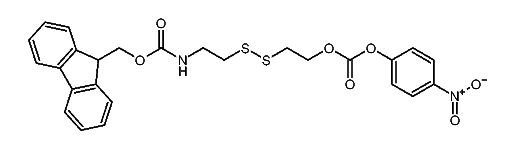
1:525813 C26H24N2O7S2
hit structure
1:525814 C19H14N2O5S2
hit structure
1:525815 C14H21NO3S2
hit structure
1:525816 C21H24N2O7S2
hit structure
1:525817 C24H23NO3S2
hit structure
1:525818 C9H11BrN2O5
hit structure
1:525819 C8H14N2O2S
hit structure
1:525820 C24H20N2O7S
hit structure
1:525821 C16H32ClN3O5
hit structure
1:525822 C9H9N3O2
hit structure

1
  <<    <    >    >>  

entries in data collection: 526490