Home Browse Text SearchFunctional Group SearchStructure SearchPreferences Administration

selected data collection: 1

IRIS SDF: browse content


1
  <<    <    >    >>  

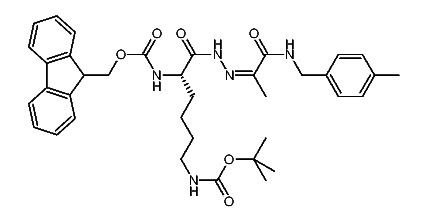
1:525459 C50H47N5O5
hit structure
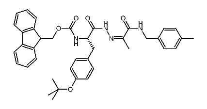
1:525460 C28H28N4O4
hit structure
1:525461 C51H46N6O4
hit structure
1:525462 C33H38N4O4
hit structure
1:525463 C32H36N4O4
hit structure
1:525464 C37H45N5O6
hit structure
1:525465 C31H34N4O4S
hit structure
1:525466 C35H34N4O4
hit structure
1:525467 C31H32N4O4
hit structure
1:525468 C33H38N4O5
hit structure
1:525469 C34H40N4O5
hit structure
1:525470 C42H43N5O6
hit structure
1:525471 C39H42N4O5
hit structure
1:525472 C31H34N4O4
hit structure
1:525473 C23H22ClNO2
hit structure
1:525474 C23H22ClNO2
hit structure
1:525475 C23H22ClNO2
hit structure
1:525476 C39H45ClN4O5S
hit structure
1:525477 C39H45ClN4O5S
hit structure
1:525478 C39H45ClN4O5S
hit structure
1:525479 C37H30ClNO4
hit structure
1:525480 C22H20ClNO2
hit structure
1:525481 C22H20ClNO2
hit structure
1:525482 C24H23ClN2O3
hit structure
1:525483 C24H23ClN2O3
hit structure

1
  <<    <    >    >>  

entries in data collection: 526490