Home Browse Text SearchFunctional Group SearchStructure SearchPreferences Administration

selected data collection: 1

IRIS SDF: browse content


1
  <<    <    >    >>  

1:525292 C33H53F4N3O14
hit structure
1:525293 C47H83N7O21
hit structure
1:525294 C86H159N3O43
hit structure
1:525295 C71H131N7O33
hit structure
1:525296 C28H56O15
hit structure
1:525297 C32H59NO17
hit structure
1:525298 C34H56F4O15
hit structure
1:525299 C150H289N4O61P
hit structure
1:525300 C30H49BrF6N6O15
hit structure
1:525301 C118H233N2O46P
hit structure
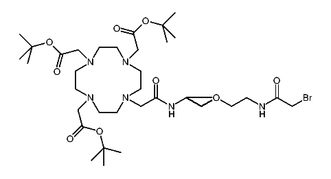
1:525302 C42H79BrN6O19
hit structure
1:525303 C144H285N2O59P
hit structure
1:525304 C109H205F4NO52
hit structure
1:525305 C25H28O3S
hit structure
1:525306 C103H205NO52
hit structure
1:525307 C78H151BrN6O31
hit structure
1:525308 C117H214N2O53
hit structure
1:525309 C110H210N2O53
hit structure
1:525310 C102H204N2O51
hit structure
1:525311 C28H54Br2N2O13
hit structure
1:525312 C193H296N12O60
hit structure
1:525313 C64H82N4O15
hit structure
1:525314 C93H184NO34P
hit structure
1:525315 C163H299N4O60P
hit structure
1:525316 C159H310N7O65P
hit structure

1
  <<    <    >    >>  

entries in data collection: 526490