Home Browse Text SearchFunctional Group SearchStructure SearchPreferences Administration

selected data collection: 1

IRIS SDF: browse content


1
  <<    <    >    >>  

1:525238 C20H30N4O6S
hit structure
1:525239 C20H30N4O6S
hit structure
1:525240 C10H15NO5
hit structure
1:525241 C10H15NO5
hit structure
1:525242 C10H15NO5
hit structure
1:525243 C10H15NO5
hit structure
1:525244 C11H17NO5
hit structure
1:525245 C11H17NO5
hit structure
1:525246 C11H17NO5
hit structure
1:525247 C11H17NO5
hit structure
1:525248 C11H17NO5
hit structure
1:525249 C10H14N4O4
hit structure
1:525250 C10H14N4O4
hit structure
1:525251 C10H14N4O4
hit structure
1:525252 C10H14N4O4
hit structure
1:525253 C32H34N2O5S
hit structure
1:525254 C32H34N2O5S
hit structure
1:525255 C32H34N2O5S
hit structure
1:525256 C32H34N2O5S
hit structure
1:525257 C25H45N3O10S
hit structure
1:525258 C30H36O6S
hit structure
1:525259 C12H25N3O6
hit structure
1:525260 C27H32O4S
hit structure
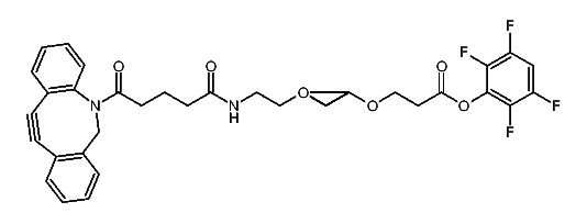
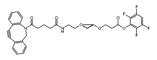
1:525261 C37H38F4N2O8
hit structure
1:525262 C53H70F4N2O16
hit structure

1
  <<    <    >    >>  

entries in data collection: 526490