Home Browse Text SearchFunctional Group SearchStructure SearchPreferences Administration

selected data collection: 1

IRIS SDF: browse content


1
  <<    <    >    >>  

1:519156 C6H14O2S2
hit structure
1:519157 C6H14O2S2
hit structure
1:519158 C6H14O2S2
hit structure
1:519159 C6H14O2S2
hit structure
1:519160 C6H14O2S2
hit structure
1:519161 C14H16N2O6
hit structure
1:519162 C14H16N2O6
hit structure
1:519163 C14H16N2O6
hit structure
1:519164 C14H16N2O6
hit structure
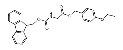
1:519165 C34H38N2O7S
hit structure
1:519166 C34H38N2O7S
hit structure
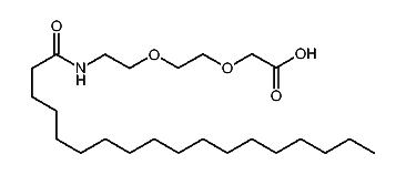
1:519167 C24H47NO5
hit structure
1:519168 C16H36N2O7
hit structure
1:519169 C70H127N3O35
hit structure
1:519170 C74H129NO32
hit structure
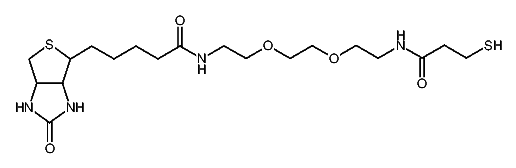
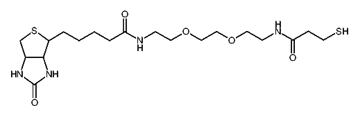
1:519171 C19H34N4O5S2
hit structure
1:519172 C19H34N4O5S2
hit structure
1:519173 C19H34N4O5S2
hit structure
1:519174 C7H15N3O3
hit structure
1:519175 C12H24N2O7
hit structure
1:519176 C54H48N2O6
hit structure
1:519177 C39H41NO7
hit structure
1:519178 C26H25NO5
hit structure
1:519179 C55H47N3O5
hit structure
1:519180 C36H37NO5
hit structure

1
  <<    <    >    >>  

entries in data collection: 520860