Home Browse Text SearchFunctional Group SearchStructure SearchPreferences Administration

selected data collection: 1

IRIS SDF: browse content


1
  <<    <    >    >>  

1:51859 C11H14N2O4Se
hit structure
1:51860 C14H16N8O2
hit structure
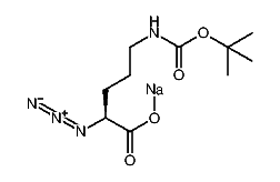
1:51861 C10H17N4NaO4
hit structure
1:51862 C12H13N5O2
hit structure
1:51863 C10H17KN4O4
hit structure
1:51864 C15H19N5O2
hit structure
1:51865 C14H17N5O2
hit structure
1:51866 C20H32N4O5S
hit structure
1:51867 C11H23N3O3
hit structure
1:51868 C10H19NO2
hit structure
1:51869 C22H26N2O4
hit structure
1:51870 C20H32N4O5S
hit structure
1:51871 C7H16N2O2
hit structure
1:51872 C6H12N2O3
hit structure
1:51873 C15H16N2O2
hit structure
1:51874 C9H18N2O3
hit structure
1:51875 C10H13NO2
hit structure
1:51876 C9H18N2O3
hit structure
1:51877 C13H14N2O
hit structure
1:51878 C11H13N3O3
hit structure
1:51879 C16H16N4O
hit structure
1:51880 C13H14N2O2
hit structure
1:51881 C12H18N2O4
hit structure
1:51882 C12H18N2O4
hit structure
1:51883 C5H9NO3
hit structure

1
  <<    <    >    >>  

entries in data collection: 81282