Home Browse Text SearchFunctional Group SearchStructure SearchPreferences Administration

selected data collection: 1

IRIS SDF: browse content


1
  <<    <    >    >>  

1:515664 C18H21NO4
hit structure
1:515665 C17H20N2O5
hit structure
1:515666 C18H23N3O6S
hit structure
1:515667 C14H18ClNO4
hit structure
1:515668 C12H23NO4
hit structure
1:515669 C20H30N2O6
hit structure
1:515670 C17H25NO5
hit structure
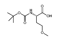
1:515671 C11H21NO4
hit structure
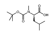
1:515672 C8H15NO4
hit structure
1:515673 C21H36N4O6S
hit structure
1:515674 C14H18INO4
hit structure
1:515675 C17H23NO6
hit structure
1:515676 C14H18INO4
hit structure
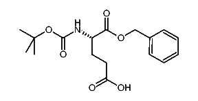
1:515677 C11H21NO4
hit structure
1:515678 C15H21NO5
hit structure
1:515679 C21H34N2O6
hit structure
1:515680 C24H40N2O6
hit structure
1:515681 C15H21NO4
hit structure
1:515682 C19H25N3O5
hit structure
1:515683 C15H21NO4
hit structure
1:515684 C16H23NO5
hit structure
1:515685 C16H23NO5
hit structure
1:515686 C10H19NO5
hit structure
1:515687 C14H25NO6
hit structure
1:515688 C10H17NO6
hit structure

1
  <<    <    >    >>  

entries in data collection: 520860