Home Browse Text SearchFunctional Group SearchStructure SearchPreferences Administration

selected data collection: 1

IRIS SDF: browse content


1
  <<    <    >    >>  

1:515622 C11H21NO4
hit structure
1:515623 C21H28N2O6
hit structure
1:515624 C17H20N2O5
hit structure
1:515625 C16H20N2O4
hit structure
1:515626 C22H24BrNO7
hit structure
1:515627 C17H23NO5
hit structure
1:515628 C21H25NO5
hit structure
1:515629 C14H19NO5
hit structure
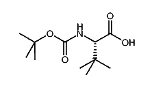
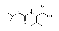
1:515630 C10H19NO4
hit structure
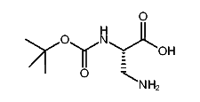
1:515631 C11H19NO4
hit structure
1:515632 C18H23N3O6S
hit structure
1:515633 C17H19N5O8
hit structure
1:515634 C17H24N2O6
hit structure
1:515635 C12H20N2O6
hit structure
1:515636 C12H20N2O6
hit structure
1:515637 C10H17BrN2O5
hit structure
1:515638 C14H18N4O8
hit structure
1:515639 C16H22N2O6
hit structure
1:515640 C8H16N2O4
hit structure
1:515641 C22H24N2O6
hit structure
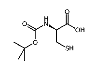
1:515642 C8H15NO4S
hit structure
1:515643 C19H30N2O6
hit structure
1:515644 C12H20N2O6
hit structure
1:515645 C12H20N2O6
hit structure
1:515646 C18H28N2O6
hit structure

1
  <<    <    >    >>  

entries in data collection: 520860