Home Browse Text SearchFunctional Group SearchStructure SearchPreferences Administration

selected data collection: 1

IRIS SDF: browse content


1
  <<    <    >    >>  

1:51434 C15H25NO6
hit structure
1:51435 C13H23NO6
hit structure
1:51436 C13H23NO6
hit structure
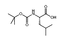
1:51437 C13H23NO6
hit structure
1:51438 C11H20N2O5S
hit structure
1:51439 C15H21NO4S
hit structure
1:51440 C16H23NO4S
hit structure
1:51441 C16H23NO5S
hit structure
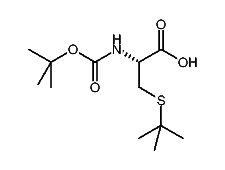
1:51442 C12H23NO4S
hit structure
1:51443 C16H27NO6
hit structure
1:51444 C16H25N3O6
hit structure
1:51445 C11H17N3O4
hit structure
1:51446 C10H17NO5
hit structure
1:51447 C11H21NO4
hit structure
1:51448 C11H21NO4
hit structure
1:51449 C19H27ClN2O6
hit structure
1:51450 C15H26N2O6
hit structure
1:51451 C16H30N2O6
hit structure
1:51452 C19H28N2O6
hit structure
1:51453 C11H22N2O4
hit structure
1:51454 C9H17NO4
hit structure
1:51455 C12H23NO4
hit structure
1:51456 C12H23NO4
hit structure
1:51457 C15H21NO4
hit structure
1:51458 C10H19NO4S
hit structure

1
  <<    <    >    >>  

entries in data collection: 86314