Home Browse Text SearchFunctional Group SearchStructure SearchPreferences Administration

selected data collection: 1

IRIS SDF: browse content


1
  <<    <    >    >>  

1:51259 C13H14O5
hit structure
1:51260 C20H17NO9
hit structure
1:51261 C42H54N6O9
hit structure
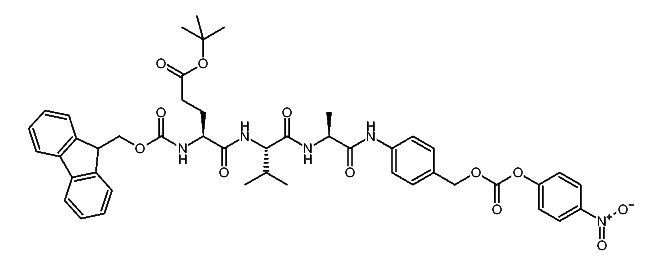
1:51262 C49H57N7O13
hit structure
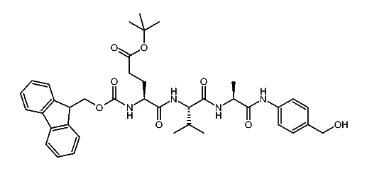
1:51263 C39H48N4O8
hit structure
1:51264 C46H51N5O12
hit structure
1:51265 C12H14N2O
hit structure
1:51266 C9H18N2O2
hit structure
1:51267 C15H14N2O2
hit structure
1:51268 C11H26N2O4
hit structure
1:51269 C14H24N2O4
hit structure
1:51270 C11H26N2O4
hit structure
1:51271 C8H15NO4S
hit structure
1:51272 C27H29NO4S
hit structure
1:51273 C13H22N2O6
hit structure
1:51274 C24H28N2O6
hit structure
1:51275 C9H18N2O4
hit structure
1:51276 C23H26N2O6
hit structure
1:51277 C23H26N2O6
hit structure
1:51278 C10H18N2O5
hit structure
1:51279 C13H21NO6
hit structure
1:51280 C17H23NO6
hit structure
1:51281 C15H32N2O5
hit structure
1:51282 C13H26N2O2
hit structure
1:51283 C9H20N2O2
hit structure

1
  <<    <    >    >>  

entries in data collection: 86314