Home Browse Text SearchFunctional Group SearchStructure SearchPreferences Administration

selected data collection: 1

IRIS SDF: browse content


1
  <<    <    >    >>  

1:507673 C22H19Cl2N5O2
hit structure
1:507674 C22H27FN4O2
hit structure
1:507675 C32H38N8O
hit structure
1:507676 C29H36Cl2N6O3
hit structure
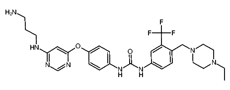
1:507677 C28H35F3N8O2
hit structure
1:507678 C26H23F3N4O4
hit structure
1:507679 C26H23F3N4O4
hit structure
1:507680 C28H45N5O6S3
hit structure
1:507681 C12H21N3O2S2
hit structure
1:507682 C23H42N4O6S2
hit structure
1:507683 C28H30N4O3S
hit structure
1:507684 C20H25N7O2S
hit structure
1:507685 C31H46N8O7S
hit structure
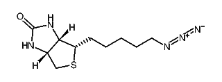
1:507686 C10H17N5OS
hit structure
1:507687 C12H18N2OS
hit structure
1:507688 C10H17N3O2S
hit structure
1:507689 C27H46O
hit structure
1:507690 C23H30N4O2S
hit structure
1:507691 C15H26N6O2S
hit structure
1:507692 C22H31N5O6S2
hit structure
1:507693 C30H43N3O9S
hit structure
1:507694 C10H16N2O6S
hit structure
1:507695 C25H38N8O6S
hit structure
1:507696 C15H23N5O4
hit structure
1:507697 C22H34N4O7S
hit structure

1
  <<    <    >    >>  

entries in data collection: 509600