Home Browse Text SearchFunctional Group SearchStructure SearchPreferences Administration

selected data collection: 1

IRIS SDF: browse content


1
  <<    <    >    >>  

1:507623 C29H36N2O8
hit structure
1:507624 C10H16N2O3S
hit structure
1:507625 C7H19N3
hit structure
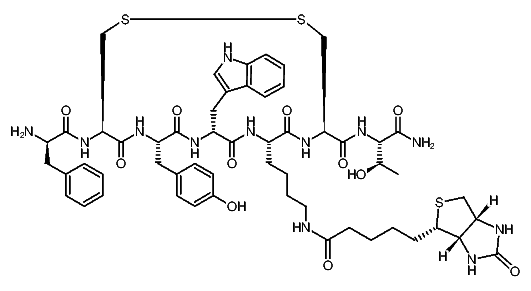
1:507626 C51H70N10O15S2
hit structure
1:507627 C51H61F9N10O15S2
hit structure
1:507628 C55H72N12O11S3
hit structure
1:507629 C90H106N12O13S3
hit structure
1:507630 C16H28N4O4S
hit structure
1:507631 C46H50N10O9
hit structure
1:507632 C55H65N7O12
hit structure
1:507633 C51H53N7O16
hit structure
1:507634 C48H63N13O10
hit structure
1:507635 C23H34N4O4S3
hit structure
1:507636 C14H20N4O4
hit structure
1:507637 C16H15N5
hit structure
1:507638 C27H38D6O2
hit structure
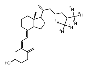
1:507639 C27H40D6O2
hit structure
1:507640 C27H38D6O
hit structure
1:507641 C27H38D6O2
hit structure
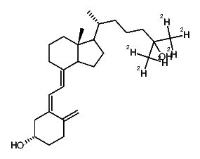
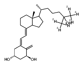
1:507642 C27H38D6O3
hit structure
1:507643 C27H41D3O
hit structure
1:507644 C27H38D6O
hit structure
1:507645 C27H40D6O
hit structure
1:507646 C28H38D6O2
hit structure
1:507647 C28H38D6O2
hit structure

1
  <<    <    >    >>  

entries in data collection: 509600