Home Browse Text SearchFunctional Group SearchStructure SearchPreferences Administration

selected data collection: 1

IRIS SDF: browse content


1
  <<    <    >    >>  

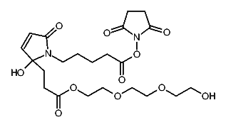
1:503373 C23H33N5O7S
hit structure
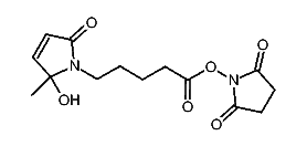
1:503374 C22H34N4O5S
hit structure
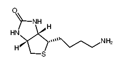
1:503375 C9H17N3OS
hit structure
1:503376 C20H17Cl
hit structure
1:503377 C6H7ClIN
hit structure
1:503378 C8H9NO2
hit structure
1:503379 C22H20O2S
hit structure
1:503380 C16H15F5N2O3S
hit structure
1:503381 C17H24N6O5
hit structure
1:503382 C18H23N3O5
hit structure
1:503383 C27H40N6O7S
hit structure
1:503384 C36H39N5O7
hit structure
1:503385 C15H27N5O3S2
hit structure
1:503386 C9H6N4O3
hit structure
1:503387 C13H16N4O4
hit structure
1:503388 C6H7NO5
hit structure
1:503389 C10H11NO2S
hit structure
1:503390 C8H9NO2
hit structure
1:503391 C10H15NO4
hit structure
1:503392 C14H18N2O6
hit structure
1:503393 C12H19NO6
hit structure
1:503394 C16H22N2O8
hit structure
1:503395 C22H32N2O11
hit structure
1:503396 C17H25N3O5
hit structure
1:503397 C11H16N2O4
hit structure

1
  <<    <    >    >>  

entries in data collection: 509600