Home Browse Text SearchFunctional Group SearchStructure SearchPreferences Administration

selected data collection: 1

IRIS SDF: browse content


1
  <<    <    >    >>  

1:503248 C18H35N3O2
hit structure
1:503249 C29H33NO5
hit structure
1:503250 C30H35NO7
hit structure
1:503251 C13H19N3O3
hit structure
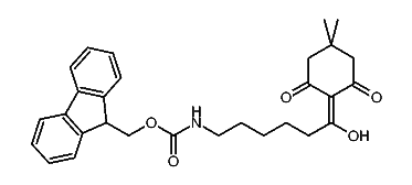
1:503252 C11H15N5O4
hit structure
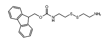
1:503253 C15H25N3O4S3
hit structure
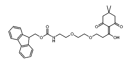
1:503254 C23H26N2O5S2
hit structure
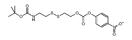
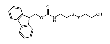
1:503255 C10H18N4O3S2
hit structure
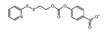
1:503256 C10H15NO3S2
hit structure
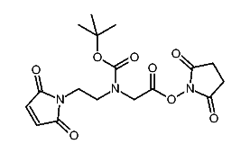
1:503257 C53H59N3O5S
hit structure
1:503258 C53H60N4O4S
hit structure
1:503259 C19H22N2O2S2
hit structure
1:503260 C14H26N4O2S3
hit structure
1:503261 C9H12N2O4
hit structure
1:503262 C7H8N2O2
hit structure
1:503263 C17H21N3O8
hit structure
1:503264 C10H12N2O6
hit structure
1:503265 C15H21NO4
hit structure
1:503266 C28H31N3O8
hit structure
1:503267 C12H18N4O4
hit structure
1:503268 C13H19N3O2S
hit structure
1:503269 C14H12N2O5S2
hit structure
1:503270 C9H19NO3S2
hit structure
1:503271 C16H22N2O7S2
hit structure
1:503272 C19H21NO3S2
hit structure

1
  <<    <    >    >>  

entries in data collection: 503970