Home Browse Text SearchFunctional Group SearchStructure SearchPreferences Administration

selected data collection: 1

IRIS SDF: browse content


1
  <<    <    >    >>  

1:497426 C27H38D6O2
hit structure
1:497427 C27H40D6O2
hit structure
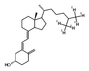
1:497428 C27H38D6O
hit structure
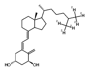
1:497429 C27H38D6O2
hit structure
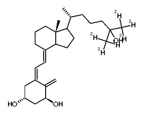
1:497430 C27H38D6O3
hit structure
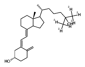
1:497431 C27H41D3O
hit structure
1:497432 C27H38D6O
hit structure
1:497433 C27H40D6O
hit structure
1:497434 C28H38D6O2
hit structure
1:497435 C28H38D6O2
hit structure
1:497436 C28H38D6O3
hit structure
1:497437 C28H41D3O
hit structure
1:497438 C28H38D6O
hit structure
1:497439 C29H47D3O2
hit structure
1:497440 C29H44D6O2
hit structure
1:497441 C31H46D6O3
hit structure
1:497442 C29H41D9O2
hit structure
1:497443 C31H43D9O3
hit structure
1:497444 C16H25ClN2O4
hit structure
1:497445 C15H27N5O5
hit structure
1:497446 C40H78N12O12S
hit structure
1:497447 C34H63N5O9
hit structure
1:497448 C34H55N5O9S3
hit structure
1:497449 C21H25N5O5
hit structure
1:497450 C13H20N2O2S2
hit structure

1
  <<    <    >    >>  

entries in data collection: 498938