Home Browse Text SearchFunctional Group SearchStructure SearchPreferences Administration

selected data collection: 1

IRIS SDF: browse content


1
  <<    <    >    >>  

1:497027 C7H15NO2
hit structure
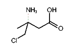
1:497028 C5H10ClNO2
hit structure
1:497029 C6H11NO2
hit structure
1:497030 C9H17NO2
hit structure
1:497031 C10H19NO2
hit structure
1:497032 C7H15NO2
hit structure
1:497033 C7H13NO2
hit structure
1:497034 C7H13NO3
hit structure
1:497035 C5H9NO2
hit structure
1:497036 C6H11NO2
hit structure
1:497037 C9H11NO2
hit structure
1:497038 C9H11NO2
hit structure
1:497039 C14H21N7O4
hit structure
1:497040 C26H28N4O2
hit structure
1:497041 C14H14N2O5
hit structure
1:497042 C10H16N4O4
hit structure
1:497043 C14H18N4O4
hit structure
1:497044 C9H14N4O4
hit structure
1:497045 C7H9NO3
hit structure
1:497046 C9H18N2O4
hit structure
1:497047 C9H14D4N2O4
hit structure
1:497048 C8H16N2O4
hit structure
1:497049 C8H12D4N2O4
hit structure
1:497050 C12H18N2O4
hit structure
1:497051 C12H14D4N2O4
hit structure

1
  <<    <    >    >>  

entries in data collection: 503970