Home Browse Text SearchFunctional Group SearchStructure SearchPreferences Administration

selected data collection: 1

IRIS SDF: browse content


1
  <<    <    >    >>  

1:496549 C35H44N2O6
hit structure
1:496550 C25H28N2O5
hit structure
1:496551 C28H28N2O8S
hit structure
1:496552 C29H27N5O3S
hit structure
1:496553 C26H19N3O4S2
hit structure
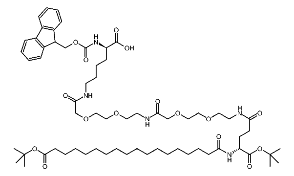
1:496554 C64H101N5O16
hit structure
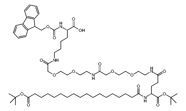
1:496555 C64H101N5O16
hit structure
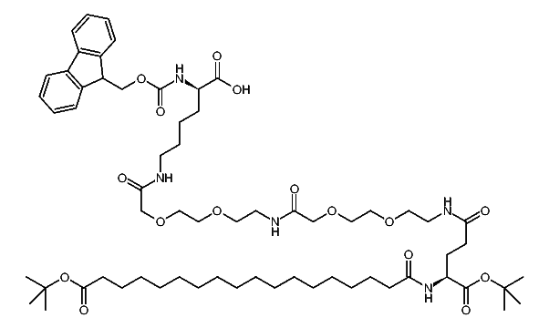
1:496556 C64H101N5O16
hit structure
1:496557 C22H21NO4S
hit structure
1:496558 C25H28N2O6
hit structure
1:496559 C24H24N2O6
hit structure
1:496560 C28H36N2O6
hit structure
1:496561 C39H34N2O5
hit structure
1:496562 C22H23NO4
hit structure
1:496563 C28H34N2O7
hit structure
1:496564 C29H36N2O7
hit structure
1:496565 C30H38N2O7
hit structure
1:496566 C23H28N2O5
hit structure
1:496567 C23H28N2O5
hit structure
1:496568 C20H21NO3
hit structure
1:496569 C6H15NO
hit structure
1:496570 C8H11NO
hit structure
1:496571 C8H11NO
hit structure
1:496572 C5H11NO
hit structure
1:496573 C9H13NO2
hit structure

1
  <<    <    >    >>  

entries in data collection: 509600