Home Browse Text SearchFunctional Group SearchStructure SearchPreferences Administration

selected data collection: 1

IRIS SDF: browse content


1
  <<    <    >    >>  

1:494828 C20H23NO5
hit structure
1:494829 C14H17NO4
hit structure
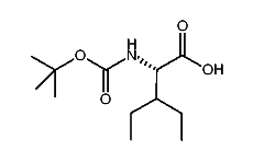
1:494830 C11H21NO4
hit structure
1:494831 C11H21NO4
hit structure
1:494832 C11H21NO4
hit structure
1:494833 C13H23NO4
hit structure
1:494834 C12H21NO5
hit structure
1:494835 C12H21NO4
hit structure
1:494836 C14H25NO4
hit structure
1:494837 C14H19NO4
hit structure
1:494838 C15H21NO4
hit structure
1:494839 C10H17NO5
hit structure
1:494840 C12H16N2O5
hit structure
1:494841 C12H23NO4
hit structure
1:494842 C12H19N3O4
hit structure
1:494843 C12H19N3O4
hit structure
1:494844 C21H29N3O5
hit structure
1:494845 C23H44N2O5
hit structure
1:494846 C10H17NO4
hit structure
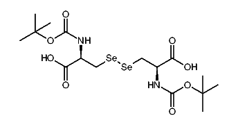
1:494847 C16H28N2O8Se2
hit structure
1:494848 C25H28N2O6
hit structure
1:494849 C13H25NO4
hit structure
1:494850 C11H21NO5
hit structure
1:494851 C12H17NO5
hit structure
1:494852 C12H17NO5
hit structure

1
  <<    <    >    >>  

entries in data collection: 537750