Home Browse Text SearchFunctional Group SearchStructure SearchPreferences Administration

selected data collection: 1

IRIS SDF: browse content


1
  <<    <    >    >>  

1:494065 C20H26ClN3O3
hit structure
1:494066 C25H33ClN4O5
hit structure
1:494067 C20H29ClN6O4
hit structure
1:494068 C23H32ClN3O5
hit structure
1:494069 C27H30N4O6
hit structure
1:494070 C34H33N5O10
hit structure
1:494071 C30H36N6O7
hit structure
1:494072 C37H39N7O11
hit structure
1:494073 C32H39N5O8
hit structure
1:494074 C39H42N6O12
hit structure
1:494075 C13H14O5
hit structure
1:494076 C20H17NO9
hit structure
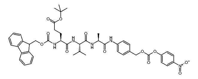
1:494077 C42H54N6O9
hit structure
1:494078 C49H57N7O13
hit structure
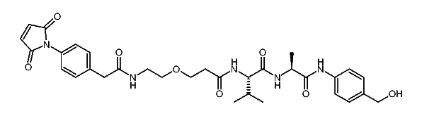
1:494079 C39H48N4O8
hit structure
1:494080 C46H51N5O12
hit structure
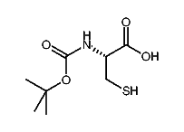
1:494081 C12H14N2O
hit structure
1:494082 C9H18N2O2
hit structure
1:494083 C15H14N2O2
hit structure
1:494084 C11H26N2O4
hit structure
1:494085 C14H24N2O4
hit structure
1:494086 C11H26N2O4
hit structure
1:494087 C8H15NO4S
hit structure
1:494088 C27H29NO4S
hit structure
1:494089 C13H22N2O6
hit structure

1
  <<    <    >    >>  

entries in data collection: 532120