Home Browse Text SearchFunctional Group SearchStructure SearchPreferences Administration

selected data collection: 1

IRIS SDF: browse content


1
  <<    <    >    >>  

1:491510 C25H30N2O6
hit structure
1:491511 C21H23NO4S
hit structure
1:491512 C26H31NO6
hit structure
1:491513 C27H37NO5Si
hit structure
1:491514 C37H45N7O7S
hit structure
1:491515 C24H28N2O5
hit structure
1:491516 C22H24N4O4
hit structure
1:491517 C35H44N2O6
hit structure
1:491518 C25H28N2O5
hit structure
1:491519 C28H28N2O8S
hit structure
1:491520 C29H27N5O3S
hit structure
1:491521 C26H19N3O4S2
hit structure
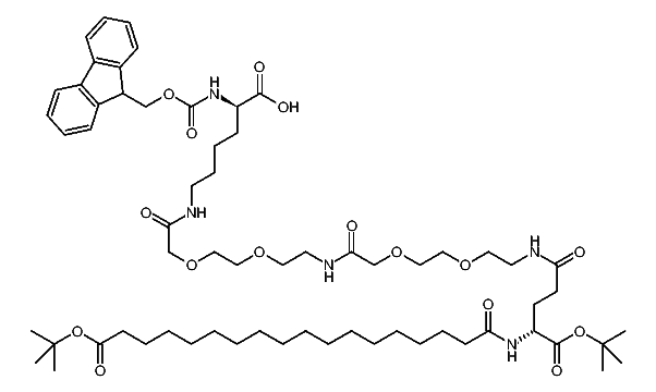
1:491522 C64H101N5O16
hit structure
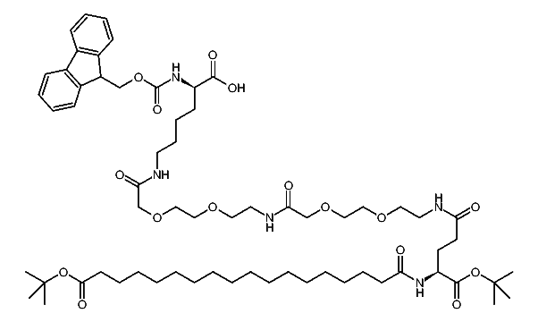
1:491523 C64H101N5O16
hit structure
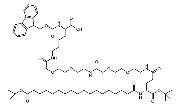
1:491524 C64H101N5O16
hit structure
1:491525 C22H21NO4S
hit structure
1:491526 C25H28N2O6
hit structure
1:491527 C24H24N2O6
hit structure
1:491528 C28H36N2O6
hit structure
1:491529 C39H34N2O5
hit structure
1:491530 C22H23NO4
hit structure
1:491531 C28H34N2O7
hit structure
1:491532 C29H36N2O7
hit structure
1:491533 C30H38N2O7
hit structure
1:491534 C23H28N2O5
hit structure

1
  <<    <    >    >>  

entries in data collection: 493906