Home Browse Text SearchFunctional Group SearchStructure SearchPreferences Administration

selected data collection: 1

IRIS SDF: browse content


1
  <<    <    >    >>  

1:489842 C15H18F3NO5
hit structure
1:489843 C15H18F3NO4
hit structure
1:489844 C16H17F6NO4
hit structure
1:489845 C14H17Cl2NO4
hit structure
1:489846 C17H25NO7
hit structure
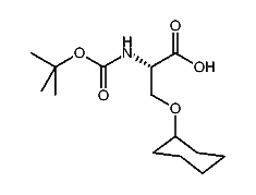
1:489847 C16H23NO4
hit structure
1:489848 C16H23NO5
hit structure
1:489849 C18H28N2O4
hit structure
1:489850 C15H18F3NO5
hit structure
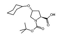
1:489851 C18H27NO4
hit structure
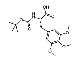
1:489852 C17H25NO4
hit structure
1:489853 C14H19NO5
hit structure
1:489854 C19H37NO4
hit structure
1:489855 C14H19NO5
hit structure
1:489856 C15H20N2O5
hit structure
1:489857 C16H22N2O5
hit structure
1:489858 C17H21N3O4
hit structure
1:489859 C22H24N2O4
hit structure
1:489860 C16H28N2O5
hit structure
1:489861 C15H26N2O5
hit structure
1:489862 C14H25NO5
hit structure
1:489863 C20H29NO5
hit structure
1:489864 C16H27NO5
hit structure
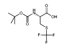
1:489865 C9H14F3NO4S
hit structure
1:489866 C9H14F3NO5
hit structure

1
  <<    <    >    >>  

entries in data collection: 509600