Home Browse Text SearchFunctional Group SearchStructure SearchPreferences Administration

selected data collection: 1

IRIS SDF: browse content


1
  <<    <    >    >>  

1:489792 C16H21NO5
hit structure
1:489793 C16H21NO5
hit structure
1:489794 C12H21NO4
hit structure
1:489795 C28H44N2O4
hit structure
1:489796 C20H23NO5
hit structure
1:489797 C14H17NO4
hit structure
1:489798 C11H21NO4
hit structure
1:489799 C11H21NO4
hit structure
1:489800 C11H21NO4
hit structure
1:489801 C13H23NO4
hit structure
1:489802 C12H21NO5
hit structure
1:489803 C12H21NO4
hit structure
1:489804 C14H25NO4
hit structure
1:489805 C14H19NO4
hit structure
1:489806 C15H21NO4
hit structure
1:489807 C10H17NO5
hit structure
1:489808 C12H16N2O5
hit structure
1:489809 C12H23NO4
hit structure
1:489810 C12H19N3O4
hit structure
1:489811 C12H19N3O4
hit structure
1:489812 C21H29N3O5
hit structure
1:489813 C23H44N2O5
hit structure
1:489814 C10H17NO4
hit structure
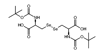
1:489815 C16H28N2O8Se2
hit structure
1:489816 C25H28N2O6
hit structure

1
  <<    <    >    >>  

entries in data collection: 503970