Home Browse Text SearchFunctional Group SearchStructure SearchPreferences Administration

selected data collection: 1

IRIS SDF: browse content


1
  <<    <    >    >>  

1:488515 C32H37NO7
hit structure
1:488516 C46H43NO5S
hit structure
1:488517 C30H34N2O6S
hit structure
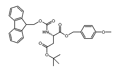
1:488518 C31H37NO5S
hit structure
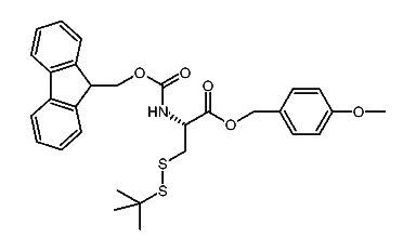
1:488519 C31H37NO5S2
hit structure
1:488520 C48H46N2O6
hit structure
1:488521 C33H39NO7
hit structure
1:488522 C26H27NO5
hit structure
1:488523 C49H45N3O5
hit structure
1:488524 C30H35NO5
hit structure
1:488525 C30H35NO5
hit structure
1:488526 C35H44N2O7
hit structure
1:488527 C29H33NO5S
hit structure
1:488528 C30H35NO5
hit structure
1:488529 C34H42N2O7
hit structure
1:488530 C33H33NO5
hit structure
1:488531 C29H31NO5
hit structure
1:488532 C31H37NO6
hit structure
1:488533 C32H39NO6
hit structure
1:488534 C37H41NO6
hit structure
1:488535 C29H33NO5
hit structure
1:488536 C40H42N2O7
hit structure
1:488537 C89H91N7O14
hit structure
1:488538 C96H98N8O15
hit structure
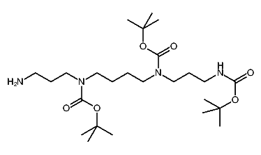
1:488539 C25H50N4O6
hit structure

1
  <<    <    >    >>  

entries in data collection: 488874