Home Browse Text SearchFunctional Group SearchStructure SearchPreferences Administration

selected data collection: 1

IRIS SDF: browse content


1
  <<    <    >    >>  

1:485137 C42H51N3O9
hit structure
1:485138 C35H39N3O7
hit structure
1:485139 C39H47N3O7
hit structure
1:485140 C39H47N3O7
hit structure
1:485141 C44H56N4O9
hit structure
1:485142 C38H45N3O7S
hit structure
1:485143 C42H45N3O7
hit structure
1:485144 C40H49N3O8
hit structure
1:485145 C41H51N3O8
hit structure
1:485146 C46H53N3O8
hit structure
1:485147 C38H45N3O7
hit structure
1:485148 C52H64N6O10S
hit structure
1:485149 C8H11N
hit structure
1:485150 C15H21NO4
hit structure
1:485151 C11H17NO
hit structure
1:485152 C15H21NO4
hit structure
1:485153 C11H17NO
hit structure
1:485154 C11H15BrO
hit structure
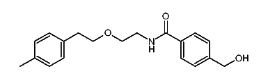
1:485155 C17H25NO3
hit structure
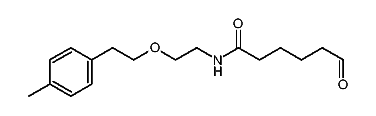
1:485156 C18H30O5
hit structure
1:485157 C19H22O4
hit structure
1:485158 C18H20O3
hit structure
1:485159 C19H23NO3
hit structure
1:485160 C28H30N2O6
hit structure
1:485161 C21H34N2O6
hit structure

1
  <<    <    >    >>  

entries in data collection: 493906