Home Browse Text SearchFunctional Group SearchStructure SearchPreferences Administration

selected data collection: 1

IRIS SDF: browse content


1
  <<    <    >    >>  

1:485012 C13H26N2O2
hit structure
1:485013 C14H29N3O4
hit structure
1:485014 C14H29N3O4
hit structure
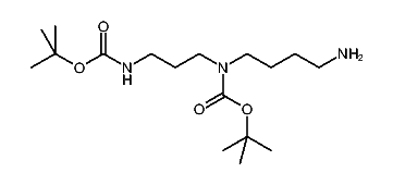
1:485015 C16H33N3O4
hit structure
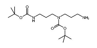
1:485016 C16H33N3O4
hit structure
1:485017 C17H35N3O4
hit structure
1:485018 C17H35N3O4
hit structure
1:485019 C10H22N4O3
hit structure
1:485020 C24H50N4O4
hit structure
1:485021 C9H20N2O2S2
hit structure
1:485022 C13H28N2O2
hit structure
1:485023 C14H30N2O2
hit structure
1:485024 C15H32N2O2
hit structure
1:485025 C16H34N2O2
hit structure
1:485026 C17H36N2O2
hit structure
1:485027 C14H27N3O4
hit structure
1:485028 C9H19N3O2
hit structure
1:485029 C9H18N2O3
hit structure
1:485030 C23H47N5O6
hit structure
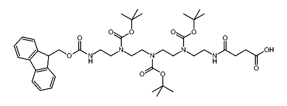
1:485031 C42H61N5O11
hit structure
1:485032 C13H22N2O4S2
hit structure
1:485033 C9H21N3O2
hit structure
1:485034 C16H33N3O4
hit structure
1:485035 C9H21N3O2
hit structure
1:485036 C14H28N2O4S2
hit structure

1
  <<    <    >    >>  

entries in data collection: 488874