Home Browse Text SearchFunctional Group SearchStructure SearchPreferences Administration

selected data collection: 1

IRIS SDF: browse content


1
  <<    <    >    >>  

1:484813 C14H17Cl2NO4
hit structure
1:484814 C17H25NO7
hit structure
1:484815 C16H23NO4
hit structure
1:484816 C16H23NO5
hit structure
1:484817 C18H28N2O4
hit structure
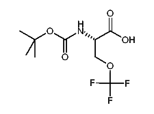
1:484818 C15H18F3NO5
hit structure
1:484819 C18H27NO4
hit structure
1:484820 C17H25NO4
hit structure
1:484821 C14H19NO5
hit structure
1:484822 C19H37NO4
hit structure
1:484823 C14H19NO5
hit structure
1:484824 C15H20N2O5
hit structure
1:484825 C16H22N2O5
hit structure
1:484826 C17H21N3O4
hit structure
1:484827 C22H24N2O4
hit structure
1:484828 C16H28N2O5
hit structure
1:484829 C15H26N2O5
hit structure
1:484830 C14H25NO5
hit structure
1:484831 C20H29NO5
hit structure
1:484832 C16H27NO5
hit structure
1:484833 C9H14F3NO4S
hit structure
1:484834 C9H14F3NO5
hit structure
1:484835 C10H17F2NO4
hit structure
1:484836 C11H16F3NO5
hit structure
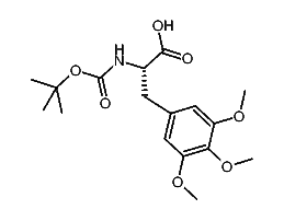
1:484837 C15H18F3NO5
hit structure

1
  <<    <    >    >>  

entries in data collection: 488874