Home Browse Text SearchFunctional Group SearchStructure SearchPreferences Administration

selected data collection: 1

IRIS SDF: browse content


1
  <<    <    >    >>  

1:484758 C16H21NO4
hit structure
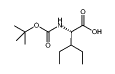
1:484759 C11H19NO4
hit structure
1:484760 C16H21NO5
hit structure
1:484761 C16H21NO5
hit structure
1:484762 C12H21NO4
hit structure
1:484763 C28H44N2O4
hit structure
1:484764 C20H23NO5
hit structure
1:484765 C14H17NO4
hit structure
1:484766 C11H21NO4
hit structure
1:484767 C11H21NO4
hit structure
1:484768 C11H21NO4
hit structure
1:484769 C13H23NO4
hit structure
1:484770 C12H21NO5
hit structure
1:484771 C12H21NO4
hit structure
1:484772 C14H25NO4
hit structure
1:484773 C14H19NO4
hit structure
1:484774 C15H21NO4
hit structure
1:484775 C10H17NO5
hit structure
1:484776 C12H16N2O5
hit structure
1:484777 C12H23NO4
hit structure
1:484778 C12H19N3O4
hit structure
1:484779 C12H19N3O4
hit structure
1:484780 C21H29N3O5
hit structure
1:484781 C23H44N2O5
hit structure
1:484782 C10H17NO4
hit structure

1
  <<    <    >    >>  

entries in data collection: 488874