Home Browse Text SearchFunctional Group SearchStructure SearchPreferences Administration

selected data collection: 1

IRIS SDF: browse content


1
  <<    <    >    >>  

1:484536 C25H40N4O7S
hit structure
1:484537 C23H31N3O6
hit structure
1:484538 C12H23NO4S2
hit structure
1:484539 C11H21N3O5
hit structure
1:484540 C27H34N4O8
hit structure
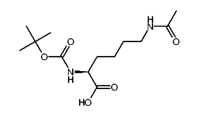
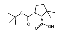
1:484541 C13H24N2O5
hit structure
1:484542 C12H21NO4
hit structure
1:484543 C12H23NO4S
hit structure
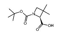
1:484544 C11H19NO4
hit structure
1:484545 C25H30N2O6S
hit structure
1:484546 C20H32N4O6S
hit structure
1:484547 C12H16N2O6
hit structure
1:484548 C13H18N2O6
hit structure
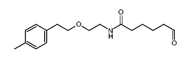
1:484549 C13H24N2O8
hit structure
1:484550 C43H44N2O7
hit structure
1:484551 C16H22O4
hit structure
1:484552 C11H16OS
hit structure
1:484553 C31H31NO3
hit structure
1:484554 C18H22O3
hit structure
1:484555 C11H15BrO
hit structure
1:484556 C17H25NO3
hit structure
1:484557 C18H30O5
hit structure
1:484558 C19H22O4
hit structure
1:484559 C18H20O3
hit structure
1:484560 C19H23NO3
hit structure

1
  <<    <    >    >>  

entries in data collection: 488874