Home Browse Text SearchFunctional Group SearchStructure SearchPreferences Administration

selected data collection: 1

IRIS SDF: browse content


1
  <<    <    >    >>  

1:479150 C22H24N2O6
hit structure
1:479151 C9H16N2O5
hit structure
1:479152 C12H19NO6
hit structure
1:479153 C16H21NO6
hit structure
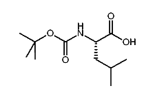
1:479154 C15H25NO6
hit structure
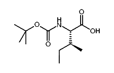
1:479155 C13H23NO6
hit structure
1:479156 C13H23NO6
hit structure
1:479157 C13H23NO6
hit structure
1:479158 C11H20N2O5S
hit structure
1:479159 C15H21NO4S
hit structure
1:479160 C16H23NO4S
hit structure
1:479161 C16H23NO5S
hit structure
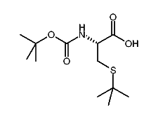
1:479162 C12H23NO4S
hit structure
1:479163 C16H27NO6
hit structure
1:479164 C16H25N3O6
hit structure
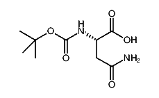
1:479165 C11H17N3O4
hit structure
1:479166 C10H17NO5
hit structure
1:479167 C11H21NO4
hit structure
1:479168 C11H21NO4
hit structure
1:479169 C19H27ClN2O6
hit structure
1:479170 C15H26N2O6
hit structure
1:479171 C16H30N2O6
hit structure
1:479172 C19H28N2O6
hit structure
1:479173 C11H22N2O4
hit structure
1:479174 C9H17NO4
hit structure

1
  <<    <    >    >>  

entries in data collection: 488874