Home Browse Text SearchFunctional Group SearchStructure SearchPreferences Administration

selected data collection: 1

IRIS SDF: browse content


1
  <<    <    >    >>  

1:478551 C67H57N3O6
hit structure
1:478552 C52H50N2O7
hit structure
1:478553 C68H56N4O5
hit structure
1:478554 C55H56N2O7
hit structure
1:478555 C50H48N2O6
hit structure
1:478556 C51H50N2O6
hit structure
1:478557 C56H52N2O6
hit structure
1:478558 C63H65N5O8S
hit structure
1:478559 C62H63N5O8S
hit structure
1:478560 C50H48N2O5S2
hit structure
1:478561 C65H54N2O6
hit structure
1:478562 C66H56N2O6
hit structure
1:478563 C59H53N3O7
hit structure
1:478564 C57(13C)5H63N(15N)4O8S
hit structure
1:478565 C43(13C)6H46N(15N)O5
hit structure
1:478566 C48(13C)6H55N(15N)2O7
hit structure
1:478567 C43(13C)5H44N(15N)O5
hit structure
1:478568 C9H25NO
hit structure
1:478569 C25H30N2
hit structure
1:478570 C21H21NS
hit structure
1:478571 C61H66N4O10
hit structure
1:478572 C46H60N4O13
hit structure
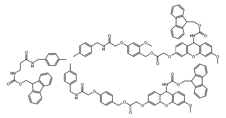
1:478573 C125H120N6O22
hit structure
1:478574 C110H114N6O25
hit structure
1:478575 C96H97N7O14
hit structure

1
  <<    <    >    >>  

entries in data collection: 478810