Home Browse Text SearchFunctional Group SearchStructure SearchPreferences Administration

selected data collection: 1

IRIS SDF: browse content


1
  <<    <    >    >>  

1:477694 C37H45N5O6
hit structure
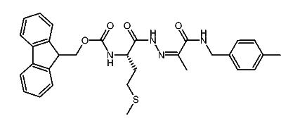
1:477695 C31H34N4O4S
hit structure
1:477696 C35H34N4O4
hit structure
1:477697 C31H32N4O4
hit structure
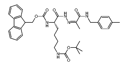
1:477698 C33H38N4O5
hit structure
1:477699 C34H40N4O5
hit structure
1:477700 C42H43N5O6
hit structure
1:477701 C39H42N4O5
hit structure
1:477702 C31H34N4O4
hit structure
1:477703 C10H14O3
hit structure
1:477704 C11H15NO3
hit structure
1:477705 C35H36N2O7
hit structure
1:477706 C3H9NO
hit structure
1:477707 C23H22ClNO2
hit structure
1:477708 C23H22ClNO2
hit structure
1:477709 C23H22ClNO2
hit structure
1:477710 C39H45ClN4O5S
hit structure
1:477711 C39H45ClN4O5S
hit structure
1:477712 C39H45ClN4O5S
hit structure
1:477713 C37H30ClNO4
hit structure
1:477714 C22H20ClNO2
hit structure
1:477715 C22H20ClNO2
hit structure
1:477716 C24H23ClN2O3
hit structure
1:477717 C24H23ClN2O3
hit structure
1:477718 C43H37ClN2O3
hit structure

1
  <<    <    >    >>  

entries in data collection: 478810