Home Browse Text SearchFunctional Group SearchStructure SearchPreferences Administration

selected data collection: 1

IRIS SDF: browse content


1
  <<    <    >    >>  

1:475594 C24H21NO4
hit structure
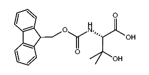
1:475595 C20H21NO5
hit structure
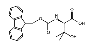
1:475596 C20H21NO5
hit structure
1:475597 C22H25NO4
hit structure
1:475598 C22H25NO4
hit structure
1:475599 C22H23NO4
hit structure
1:475600 C22H23NO4
hit structure
1:475601 C26H25NO4
hit structure
1:475602 C30H33NO5
hit structure
1:475603 C25H29NO6
hit structure
1:475604 C26H31NO6
hit structure
1:475605 C28H36N2O6
hit structure
1:475606 C27H34N2O6
hit structure
1:475607 C35H42N4O7S
hit structure
1:475608 C20H18N4O4
hit structure
1:475609 C21H23NO4
hit structure
1:475610 C21H21NO4
hit structure
1:475611 C21H21NO4
hit structure
1:475612 C22H25NO4
hit structure
1:475613 C22H25NO4
hit structure
1:475614 C27H34N2O6
hit structure
1:475615 C27H34N2O6
hit structure
1:475616 C26H32N2O6
hit structure
1:475617 C26H32N2O6
hit structure
1:475618 C25H23NO4
hit structure

1
  <<    <    >    >>  

entries in data collection: 478810