Home Browse Text SearchFunctional Group SearchStructure SearchPreferences Administration

selected data collection: 1

IRIS SDF: browse content


1
  <<    <    >    >>  

1:474943 C14H22N2O2
hit structure
1:474944 C23H26BrN2O2P
hit structure
1:474945 C9H18N2O2
hit structure
1:474946 C9H18N2O2
hit structure
1:474947 C11H22N2O2
hit structure
1:474948 C13H26N2O2
hit structure
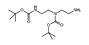
1:474949 C14H29N3O4
hit structure
1:474950 C14H29N3O4
hit structure
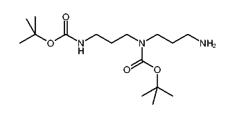
1:474951 C16H33N3O4
hit structure
1:474952 C16H33N3O4
hit structure
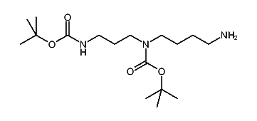
1:474953 C17H35N3O4
hit structure
1:474954 C17H35N3O4
hit structure
1:474955 C10H22N4O3
hit structure
1:474956 C24H50N4O4
hit structure
1:474957 C9H20N2O2S2
hit structure
1:474958 C13H28N2O2
hit structure
1:474959 C14H30N2O2
hit structure
1:474960 C15H32N2O2
hit structure
1:474961 C16H34N2O2
hit structure
1:474962 C17H36N2O2
hit structure
1:474963 C14H27N3O4
hit structure
1:474964 C9H19N3O2
hit structure
1:474965 C9H18N2O3
hit structure
1:474966 C23H47N5O6
hit structure
1:474967 C42H61N5O11
hit structure

1
  <<    <    >    >>  

entries in data collection: 478810