Home Browse Text SearchFunctional Group SearchStructure SearchPreferences Administration

selected data collection: 1

IRIS SDF: browse content


1
  <<    <    >    >>  

1:474548 C14H16N8O2
hit structure
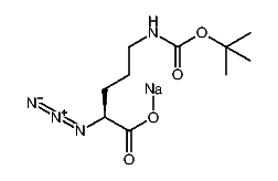
1:474549 C10H17N4NaO4
hit structure
1:474550 C12H13N5O2
hit structure
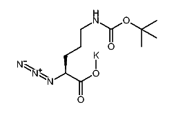
1:474551 C10H17KN4O4
hit structure
1:474552 C15H19N5O2
hit structure
1:474553 C14H17N5O2
hit structure
1:474554 C20H32N4O5S
hit structure
1:474555 C11H23N3O3
hit structure
1:474556 C10H19NO2
hit structure
1:474557 C22H26N2O4
hit structure
1:474558 C20H32N4O5S
hit structure
1:474559 C7H16N2O2
hit structure
1:474560 C6H12N2O3
hit structure
1:474561 C15H16N2O2
hit structure
1:474562 C9H18N2O3
hit structure
1:474563 C10H13NO2
hit structure
1:474564 C9H18N2O3
hit structure
1:474565 C13H14N2O
hit structure
1:474566 C11H13N3O3
hit structure
1:474567 C16H16N4O
hit structure
1:474568 C13H14N2O2
hit structure
1:474569 C12H18N2O4
hit structure
1:474570 C12H18N2O4
hit structure
1:474571 C5H9NO3
hit structure
1:474572 C11H24N4O2
hit structure

1
  <<    <    >    >>  

entries in data collection: 483842