Home Browse Text SearchFunctional Group SearchStructure SearchPreferences Administration

selected data collection: 1

IRIS SDF: browse content


1
  <<    <    >    >>  

1:474448 C12H21NO4
hit structure
1:474449 C16H23NO4
hit structure
1:474450 C9H14F3NO4
hit structure
1:474451 C9H14F3NO4
hit structure
1:474452 C8H12F2KNO4
hit structure
1:474453 C11H16F3NO4
hit structure
1:474454 C10H16FNO4
hit structure
1:474455 C10H16FNO4
hit structure
1:474456 C10H15F2NO4
hit structure
1:474457 C26H30N2O6
hit structure
1:474458 C24H28N2O6
hit structure
1:474459 C15H21NO4
hit structure
1:474460 C11H19NO4
hit structure
1:474461 C17H25NO5
hit structure
1:474462 C17H22N2O4
hit structure
1:474463 C22H27NO5
hit structure
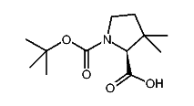
1:474464 C11H21NO4
hit structure
1:474465 C12H23NO4
hit structure
1:474466 C12H23NO4
hit structure
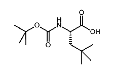
1:474467 C12H21NO4
hit structure
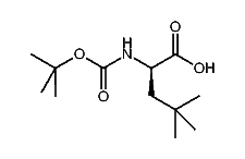
1:474468 C12H21NO4
hit structure
1:474469 C13H24N2O6
hit structure
1:474470 C17H24N2O5S
hit structure
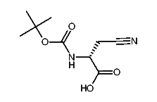
1:474471 C9H14N2O4
hit structure
1:474472 C25H40N4O7S
hit structure

1
  <<    <    >    >>  

entries in data collection: 478810