Home Browse Text SearchFunctional Group SearchStructure SearchPreferences Administration

selected data collection: 1

IRIS SDF: browse content


1
  <<    <    >    >>  

1:47391 C11H28N2O3
hit structure
1:47392 C11H28N2O3
hit structure
1:47393 C11H28N2O3
hit structure
1:47394 C11H28N2O3
hit structure
1:47395 C11H28N2O3
hit structure
1:47396 C11H25NO5
hit structure
1:47397 C11H25NO5
hit structure
1:47398 C11H25NO5
hit structure
1:47399 C11H25NO5
hit structure
1:47400 C11H25NO5
hit structure
1:47401 C11H25NO5
hit structure
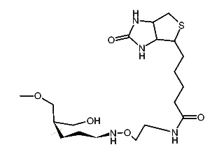
1:47402 C21H42N4O5S
hit structure
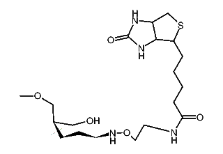
1:47403 C21H42N4O5S
hit structure
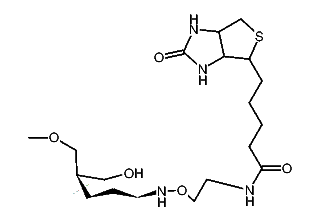
1:47404 C21H42N4O5S
hit structure
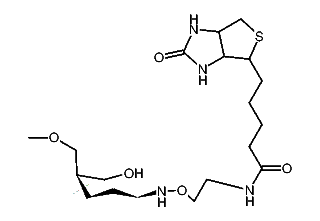
1:47405 C21H42N4O5S
hit structure
1:47406 C21H42N4O5S
hit structure
1:47407 C12H29NO3S
hit structure
1:47408 C25H23N3O2
hit structure
1:47409 C47H51FN7O7P
hit structure
1:47410 C41H49FN5O8P
hit structure
1:47411 C44H53FN7O8P
hit structure
1:47412 C48H54N7O8P
hit structure
1:47413 C47H54N5O9P
hit structure
1:47414 C45H56N7O9P
hit structure
1:47415 C40H49N4O9P
hit structure

1
  <<    <    >    >>  

entries in data collection: 106442