Home Browse Text SearchFunctional Group SearchStructure SearchPreferences Administration

selected data collection: 1

IRIS SDF: browse content


1
  <<    <    >    >>  

1:473111 C29H39N9O4S
hit structure
1:473112 C28H39N7O4S
hit structure
1:473113 C22H26F5N3O4S
hit structure
1:473114 C8H10S2
hit structure
1:473115 C15H16N2O3S2
hit structure
1:473116 C10H12O5S
hit structure
1:473117 C26H27F4N4NaO10S
hit structure
1:473118 C7H14N2
hit structure
1:473119 C15H12N5NaO7S
hit structure
1:473120 C20H18N2O3S2
hit structure
1:473121 C10H13N5O3
hit structure
1:473122 C18H18N6O2
hit structure
1:473123 C27H36N6O7
hit structure
1:473124 C10H10N2O3
hit structure
1:473125 C19H23N9O2
hit structure
1:473126 C24H33N9O6
hit structure
1:473127 C12H21N5O4
hit structure
1:473128 C20H19N7O4
hit structure
1:473129 C31H40N8O9
hit structure
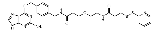
1:473130 C21H21N7O2S2
hit structure
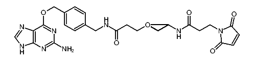
1:473131 C26H30N8O4S2
hit structure
1:473132 C34H31N7O3
hit structure
1:473133 C24H22N2O2
hit structure
1:473134 C23H21F9N4O4S
hit structure
1:473135 C21H16F9NO5S
hit structure

1
  <<    <    >    >>  

entries in data collection: 473778