Home Browse Text SearchFunctional Group SearchStructure SearchPreferences Administration

selected data collection: 1

IRIS SDF: browse content


1
  <<    <    >    >>  

1:472236 C33H36N2O8
hit structure
1:472237 C31H40N2O9
hit structure
1:472238 C32H42N2O9
hit structure
1:472239 C40H45N3O10
hit structure
1:472240 C37H44N2O9
hit structure
1:472241 C29H36N2O8
hit structure
1:472242 C10H16N2O3S
hit structure
1:472243 C7H19N3
hit structure
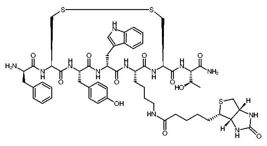
1:472244 C51H70N10O15S2
hit structure
1:472245 C51H61F9N10O15S2
hit structure
1:472246 C55H72N12O11S3
hit structure
1:472247 C90H106N12O13S3
hit structure
1:472248 C31H42N6O8
hit structure
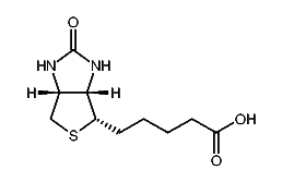
1:472249 C10H18N2O3
hit structure
1:472250 C18H27N3O3
hit structure
1:472251 C15H28N4O2S
hit structure
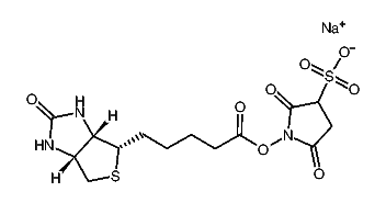
1:472252 C14H18N3NaO8S2
hit structure
1:472253 C13H24N4O2S
hit structure
1:472254 C17H11NO3
hit structure
1:472255 C9H15O6P
hit structure
1:472256 C24H36N4O6S
hit structure
1:472257 C18H25N3O3S
hit structure
1:472258 C16H28N4O4S
hit structure
1:472259 C46H50N10O9
hit structure
1:472260 C55H65N7O12
hit structure

1
  <<    <    >    >>  

entries in data collection: 488874