Home Browse Text SearchFunctional Group SearchStructure SearchPreferences Administration

selected data collection: 1

IRIS SDF: browse content


1
  <<    <    >    >>  

1:472186 C14H26N6O4
hit structure
1:472187 C15H30N4O5
hit structure
1:472188 C8H14N2O5
hit structure
1:472189 C9H18N2O4
hit structure
1:472190 C9H18N2O5
hit structure
1:472191 C8H16N4O4
hit structure
1:472192 C9H18N4O4
hit structure
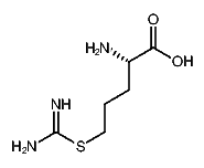
1:472193 C6H13N3O2S
hit structure
1:472194 C17H22N6O3
hit structure
1:472195 C24H20N2O2
hit structure
1:472196 C26H24N2O2
hit structure
1:472197 C4H10N2O2
hit structure
1:472198 C11H24N2O4Si
hit structure
1:472199 C6H12N4O2
hit structure
1:472200 C11H14N4O3
hit structure
1:472201 C8H11N
hit structure
1:472202 C40H38N2O6
hit structure
1:472203 C8H11N
hit structure
1:472204 C40H38N2O6
hit structure
1:472205 C15H18N4O4
hit structure
1:472206 C12H26O5
hit structure
1:472207 C11H15NO4
hit structure
1:472208 C21H19NO2
hit structure
1:472209 C10H14O3
hit structure
1:472210 C11H15NO3
hit structure

1
  <<    <    >    >>  

entries in data collection: 488874