Home Browse Text SearchFunctional Group SearchStructure SearchPreferences Administration

selected data collection: 1

IRIS SDF: browse content


1
  <<    <    >    >>  

1:467921 C16H28O2
hit structure
1:467922 C18H32O2
hit structure
1:467923 C12H13NO5
hit structure
1:467924 C13H15NO5
hit structure
1:467925 C18H16N2O
hit structure
1:467926 C10H8N4O2
hit structure
1:467927 C7H10N4O2
hit structure
1:467928 C13H17NO7
hit structure
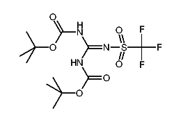
1:467929 C12H20F3N3O6S
hit structure
1:467930 C12H17F6N6O2P
hit structure
1:467931 C18H27ClF6N6OP2
hit structure
1:467932 C10H19NO4S2
hit structure
1:467933 C20H21NO4S2
hit structure
1:467934 C18H30N10O3
hit structure
1:467935 C19H20N6O5
hit structure
1:467936 C18H18N6O5
hit structure
1:467937 C27H36N6O10
hit structure
1:467938 C35H35NO7S2
hit structure
1:467939 C17H29F6N5O3P2
hit structure
1:467940 C6H7N3O4
hit structure
1:467941 C11H10N4O2
hit structure
1:467942 C20H28N4O7
hit structure
1:467943 C15H13N5O4
hit structure
1:467944 C24H31N5O9
hit structure
1:467945 C24H30N6O7
hit structure

1
  <<    <    >    >>  

entries in data collection: 473778