Home Browse Text SearchFunctional Group SearchStructure SearchPreferences Administration

selected data collection: 1

IRIS SDF: browse content


1
  <<    <    >    >>  

1:467225 C18H25N3O3S
hit structure
1:467226 C16H28N4O4S
hit structure
1:467227 C46H50N10O9
hit structure
1:467228 C55H65N7O12
hit structure
1:467229 C51H53N7O16
hit structure
1:467230 C48H63N13O10
hit structure
1:467231 C23H34N4O4S3
hit structure
1:467232 C14H20N4O4
hit structure
1:467233 C16H15N5
hit structure
1:467234 C27H38D6O2
hit structure
1:467235 C27H40D6O2
hit structure
1:467236 C27H38D6O
hit structure
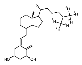
1:467237 C27H38D6O2
hit structure
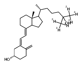
1:467238 C27H38D6O3
hit structure
1:467239 C27H41D3O
hit structure
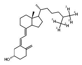
1:467240 C27H38D6O
hit structure
1:467241 C27H40D6O
hit structure
1:467242 C28H38D6O2
hit structure
1:467243 C28H38D6O2
hit structure
1:467244 C28H38D6O3
hit structure
1:467245 C28H41D3O
hit structure
1:467246 C28H38D6O
hit structure
1:467247 C29H47D3O2
hit structure
1:467248 C29H44D6O2
hit structure
1:467249 C31H46D6O3
hit structure

1
  <<    <    >    >>  

entries in data collection: 468746