Home Browse Text SearchFunctional Group SearchStructure SearchPreferences Administration

selected data collection: 1

IRIS SDF: browse content


1
  <<    <    >    >>  

1:466342 C21H22N2O5
hit structure
1:466343 C27H24N4O6
hit structure
1:466344 C24H18N2O6
hit structure
1:466345 C24H19NO4
hit structure
1:466346 C25H28N2O4S
hit structure
1:466347 C40H37NO4S
hit structure
1:466348 C41H39NO4S
hit structure
1:466349 C24H28N2O6
hit structure
1:466350 C25H30N2O6
hit structure
1:466351 C21H23NO4S
hit structure
1:466352 C26H31NO6
hit structure
1:466353 C27H37NO5Si
hit structure
1:466354 C37H45N7O7S
hit structure
1:466355 C24H28N2O5
hit structure
1:466356 C22H24N4O4
hit structure
1:466357 C35H44N2O6
hit structure
1:466358 C25H28N2O5
hit structure
1:466359 C28H28N2O8S
hit structure
1:466360 C29H27N5O3S
hit structure
1:466361 C26H19N3O4S2
hit structure
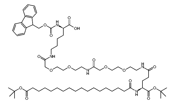
1:466362 C64H101N5O16
hit structure
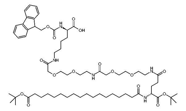
1:466363 C64H101N5O16
hit structure
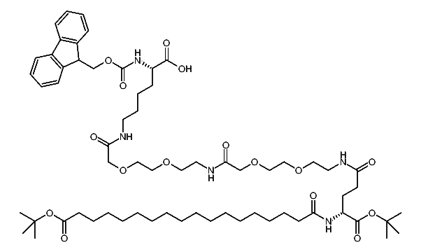
1:466364 C64H101N5O16
hit structure
1:466365 C22H21NO4S
hit structure
1:466366 C25H28N2O6
hit structure

1
  <<    <    >    >>  

entries in data collection: 468746