Home Browse Text SearchFunctional Group SearchStructure SearchPreferences Administration

selected data collection: 1

IRIS SDF: browse content


1
  <<    <    >    >>  

1:464863 C20H32N4O7
hit structure
1:464864 C45H56N6O9
hit structure
1:464865 C31H50N6O11
hit structure
1:464866 C22H34N2O6
hit structure
1:464867 C10H20N2O2
hit structure
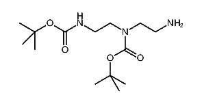
1:464868 C9H20N2O2
hit structure
1:464869 C9H20N2O2
hit structure
1:464870 C18H26N2O6
hit structure
1:464871 C11H22N2O2
hit structure
1:464872 C15H28N2O6
hit structure
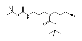
1:464873 C9H20N2O2
hit structure
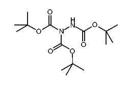
1:464874 C8H18N2O2
hit structure
1:464875 C10H22N2O2
hit structure
1:464876 C15H32N2O4
hit structure
1:464877 C11H24N2O4
hit structure
1:464878 C7H16N2O2
hit structure
1:464879 C14H22N2O2
hit structure
1:464880 C23H26BrN2O2P
hit structure
1:464881 C9H18N2O2
hit structure
1:464882 C9H18N2O2
hit structure
1:464883 C11H22N2O2
hit structure
1:464884 C13H26N2O2
hit structure
1:464885 C14H29N3O4
hit structure
1:464886 C14H29N3O4
hit structure
1:464887 C16H33N3O4
hit structure

1
  <<    <    >    >>  

entries in data collection: 468746