Home Browse Text SearchFunctional Group SearchStructure SearchPreferences Administration

selected data collection: 1

IRIS SDF: browse content


1
  <<    <    >    >>  

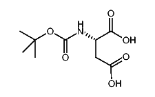
1:464763 C12H21NO4
hit structure
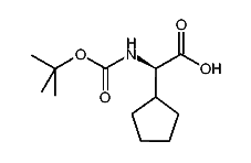
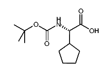
1:464764 C12H21NO4
hit structure
1:464765 C17H25NO4S
hit structure
1:464766 C28H31NO4S
hit structure
1:464767 C28H31NO4S
hit structure
1:464768 C17H25N3O8S
hit structure
1:464769 C9H17NO5
hit structure
1:464770 C11H19NO5
hit structure
1:464771 C11H19NO5
hit structure
1:464772 C10H17NO5
hit structure
1:464773 C9H17NO5
hit structure
1:464774 C16H28N2O8S2
hit structure
1:464775 C15H21NO4S
hit structure
1:464776 C16H23NO4S
hit structure
1:464777 C15H19N3O7
hit structure
1:464778 C20H24N2O8
hit structure
1:464779 C9H15NO6
hit structure
1:464780 C22H25NO4S
hit structure
1:464781 C13H18N2O4
hit structure
1:464782 C14H25NO6
hit structure
1:464783 C20H22N2O6
hit structure
1:464784 C18H22N2O6
hit structure
1:464785 C14H20N2O6
hit structure
1:464786 C10H15NO5
hit structure
1:464787 C9H18N2O4
hit structure

1
  <<    <    >    >>  

entries in data collection: 468746