Home Browse Text SearchFunctional Group SearchStructure SearchPreferences Administration

selected data collection: 1

IRIS SDF: browse content


1
  <<    <    >    >>  

1:464324 C16H27NO4
hit structure
1:464325 C32H42N2O8
hit structure
1:464326 C32H42N2O8
hit structure
1:464327 C15H21NO4
hit structure
1:464328 C15H21NO4
hit structure
1:464329 C9H15F2NO4
hit structure
1:464330 C9H14F3NO4
hit structure
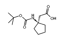
1:464331 C10H19NO4
hit structure
1:464332 C10H19NO4
hit structure
1:464333 C19H21NO4
hit structure
1:464334 C13H24N2O5S2
hit structure
1:464335 C9H15F2NO4
hit structure
1:464336 C14H28N2O4
hit structure
1:464337 C11H17NO4S
hit structure
1:464338 C10H15NO5
hit structure
1:464339 C11H17NO5
hit structure
1:464340 C17H21NO5
hit structure
1:464341 C14H19NO4
hit structure
1:464342 C14H19NO4
hit structure
1:464343 C14H19NO4
hit structure
1:464344 C22H34N2O8
hit structure
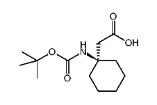
1:464345 C12H21NO4
hit structure
1:464346 C13H23NO4
hit structure
1:464347 C14H25NO4
hit structure
1:464348 C15H27NO4
hit structure

1
  <<    <    >    >>  

entries in data collection: 468746