Home Browse Text SearchFunctional Group SearchStructure SearchPreferences Administration

selected data collection: 1

IRIS SDF: browse content


1
  <<    <    >    >>  

1:464197 C19H28N2O6
hit structure
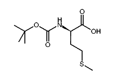
1:464198 C10H19NO4S
hit structure
1:464199 C14H18FNO4
hit structure
1:464200 C14H17Cl2NO4
hit structure
1:464201 C14H17F2NO4
hit structure
1:464202 C14H18FNO4
hit structure
1:464203 C14H18INO4
hit structure
1:464204 C14H18BrNO4
hit structure
1:464205 C14H18FNO4
hit structure
1:464206 C15H21NO4
hit structure
1:464207 C14H20N2O4
hit structure
1:464208 C29H30N2O6
hit structure
1:464209 C14H18N2O6
hit structure
1:464210 C14H14F5NO4
hit structure
1:464211 C10H15NO4
hit structure
1:464212 C16H23NO5
hit structure
1:464213 C11H21NO4
hit structure
1:464214 C21H23Cl2NO5
hit structure
1:464215 C21H25NO5
hit structure
1:464216 C18H21NO4
hit structure
1:464217 C9H17NO4
hit structure
1:464218 C16H21NO4
hit structure
1:464219 C18H21NO4
hit structure
1:464220 C13H18N2O4
hit structure
1:464221 C21H34N4O7S
hit structure

1
  <<    <    >    >>  

entries in data collection: 468746