Home Browse Text SearchFunctional Group SearchStructure SearchPreferences Administration

selected data collection: 1

IRIS SDF: browse content


1
  <<    <    >    >>  

1:463874 C25H33ClN4O5
hit structure
1:463875 C20H29ClN6O4
hit structure
1:463876 C23H32ClN3O5
hit structure
1:463877 C27H30N4O6
hit structure
1:463878 C34H33N5O10
hit structure
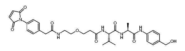
1:463879 C30H36N6O7
hit structure
1:463880 C37H39N7O11
hit structure
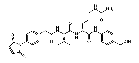
1:463881 C32H39N5O8
hit structure
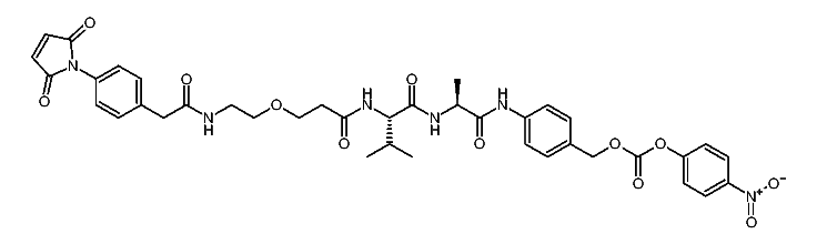
1:463882 C39H42N6O12
hit structure
1:463883 C13H14O5
hit structure
1:463884 C20H17NO9
hit structure
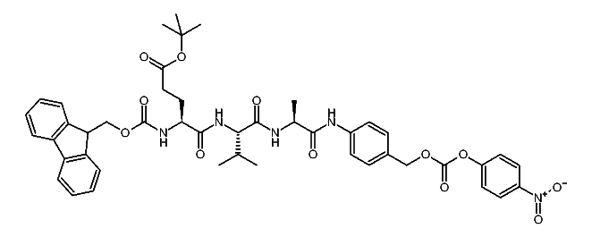
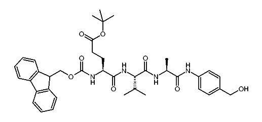
1:463885 C42H54N6O9
hit structure
1:463886 C49H57N7O13
hit structure
1:463887 C39H48N4O8
hit structure
1:463888 C46H51N5O12
hit structure
1:463889 C12H14N2O
hit structure
1:463890 C9H18N2O2
hit structure
1:463891 C15H14N2O2
hit structure
1:463892 C11H26N2O4
hit structure
1:463893 C14H24N2O4
hit structure
1:463894 C11H26N2O4
hit structure
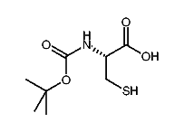
1:463895 C8H15NO4S
hit structure
1:463896 C27H29NO4S
hit structure
1:463897 C13H22N2O6
hit structure
1:463898 C24H28N2O6
hit structure

1
  <<    <    >    >>  

entries in data collection: 468746