Home Browse Text SearchFunctional Group SearchStructure SearchPreferences Administration

selected data collection: 1

IRIS SDF: browse content


1
  <<    <    >    >>  

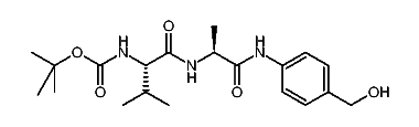
1:463799 C28H46N2O6
hit structure
1:463800 C12H21NO3
hit structure
1:463801 C11H21NO3
hit structure
1:463802 C12H23NO3
hit structure
1:463803 C13H25NO3
hit structure
1:463804 C14H27NO3
hit structure
1:463805 C12H23NO3
hit structure
1:463806 C11H21NO3
hit structure
1:463807 C10H17NO3
hit structure
1:463808 C11H19NO3
hit structure
1:463809 C14H25NO3
hit structure
1:463810 C15H27NO3
hit structure
1:463811 C12H23NO3
hit structure
1:463812 C12H21NO3
hit structure
1:463813 C11H19NO3
hit structure
1:463814 C16H23NO4
hit structure
1:463815 C14H18FNO3
hit structure
1:463816 C15H20FNO3
hit structure
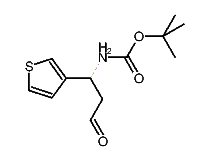
1:463817 C12H17NO3S
hit structure
1:463818 C40H42N6O10
hit structure
1:463819 C30H40N6O10
hit structure
1:463820 C23H37N5O6
hit structure
1:463821 C33H39N5O6
hit structure
1:463822 C20H31N3O5
hit structure
1:463823 C27H34N4O9
hit structure

1
  <<    <    >    >>  

entries in data collection: 468746