Home Browse Text SearchFunctional Group SearchStructure SearchPreferences Administration

selected data collection: 1

IRIS SDF: browse content


1
  <<    <    >    >>  

1:463074 C7H7N3O
hit structure
1:463075 C8H4N2O4S
hit structure
1:463076 C12H16N2O5S2
hit structure
1:463077 C5H9N3O2S2
hit structure
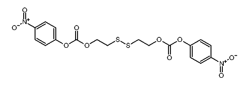
1:463078 C24H24N2O4S2
hit structure
1:463079 C14H24N6O2S3
hit structure
1:463080 C20H22BNO7
hit structure
1:463081 C36H35BN2O13
hit structure
1:463082 C11H12N4O5S2
hit structure
1:463083 C18H16N2O10S2
hit structure
1:463084 C19H14N2O4S3
hit structure
1:463085 C10H17NOS
hit structure
1:463086 C13H22N2O2S
hit structure
1:463087 C14H21NO4S
hit structure
1:463088 C18H34N4O5S
hit structure
1:463089 C10H8N4OS
hit structure
1:463090 C20H22N6O3S2
hit structure
1:463091 C23H28N6O3S2
hit structure
1:463092 C31H43N7O8S2
hit structure
1:463093 C31H19N5O6S2
hit structure
1:463094 C55H56N6O5S2
hit structure
1:463095 C15H12N4O2S
hit structure
1:463096 C15H15N7O2S
hit structure
1:463097 C12H9N3O3S
hit structure
1:463098 C30H23N5O3S
hit structure

1
  <<    <    >    >>  

entries in data collection: 463714