Home Browse Text SearchFunctional Group SearchStructure SearchPreferences Administration

selected data collection: 1

IRIS SDF: browse content


1
  <<    <    >    >>  

1:460601 C21H19NO5
hit structure
1:460602 C27H23NO5
hit structure
1:460603 C39H35NO5S
hit structure
1:460604 C24H21NO4
hit structure
1:460605 C24H21NO4
hit structure
1:460606 C24H21NO4
hit structure
1:460607 C29H31NO5
hit structure
1:460608 C25H23NO5
hit structure
1:460609 C20H19NO4
hit structure
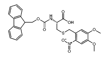
1:460610 C25H21N3O7
hit structure
1:460611 C22H23NO4
hit structure
1:460612 C27H26N2O8S
hit structure
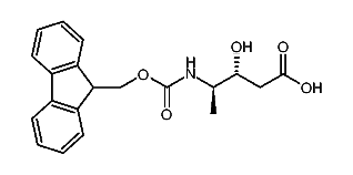
1:460613 C20H21NO5
hit structure
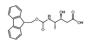
1:460614 C20H21NO5
hit structure
1:460615 C23H27NO4S
hit structure
1:460616 C21H23NO4S
hit structure
1:460617 C24H21NO5
hit structure
1:460618 C28H29NO5
hit structure
1:460619 C19H17NO4
hit structure
1:460620 C19H17NO4
hit structure
1:460621 C21H22N4O4
hit structure
1:460622 C19H18N4O4
hit structure
1:460623 C28H36N2O6
hit structure
1:460624 C33H31NO6S3
hit structure
1:460625 C23H25NO5S
hit structure

1
  <<    <    >    >>  

entries in data collection: 478810